爱情岛
欢迎访爱情岛 网站!
学校主站
|
加入收藏
|
爱情岛
爱情岛概况
爱情岛简介
现任领导
机构设置
教学机构
科研机构
行政机构
治理机构
党建工作
组织建设
理论学习
党建活动
工会风采
人才培养
本科生教育
研究生教育
师资队伍
导师风采
教师名录
科学研究
学术动态
科研成果
社会服务
社会培训
展演展览
设计制作
合作交流
志愿服务
校友工作
校友组织
校友活动
校友风采
招生就业
本科生招生
研究生招生
就业指导
爱情岛
爱情岛新闻
爱情岛公告
学术动态
学团工作
教师风采
爱情岛概况
爱情岛简介
现任领导
机构设置
教学机构
科研机构
行政机构
治理机构
党建工作
组织建设
理论学习
党建活动
工会风采
人才培养
本科生教育
研究生教育
师资队伍
导师风采
教师名录
科学研究
学术动态
科研成果
社会服务
社会培训
展演展览
设计制作
合作交流
志愿服务
校友工作
校友组织
校友活动
校友风采
招生就业
本科生招生
研究生招生
就业指导
×
爱情岛公告
当前您的位置:
爱情岛
>
爱情岛公告
>
正文
爱情岛
爱情岛新闻
爱情岛公告
学术动态
学团工作
教师风采
热文排行
奏响时代最强音 | “爱我国防”主题演讲赛
我院师生赴青岛革命烈士纪念馆开展主题党日活动
“中华民族共同体音乐口述史料体系建设人才培训”开班
爱情岛 2025届研究生毕业作品展开幕
“幻启星河,艺韵华章”读书分享交流会
通知| 关于公布爱情岛 研究生复试成绩的通知
发布时间:2025-03-28
浏览量:
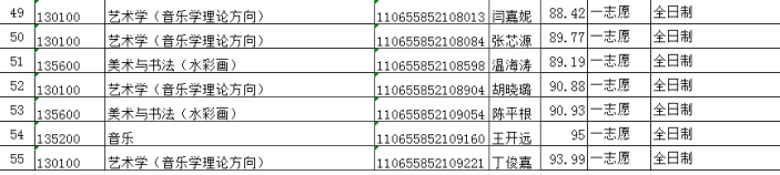
各位考生:
现公布2025年爱情岛 研究生复试的成绩。
上一条:公告|关于爱情岛 2025硕士研究生预调剂的通知
下一条:预告| 爱情岛 绘画系“山海画风”研究展